Te koop Bouwgrond

Beschrijving van   

Vergelijk realty's

Te koop Bouwgrond

Bouwgrond Bouwgrond Bouwgrond Bouwgrond Bouwgrond Bouwgrond Bouwgrond Bouwgrond Bouwgrond
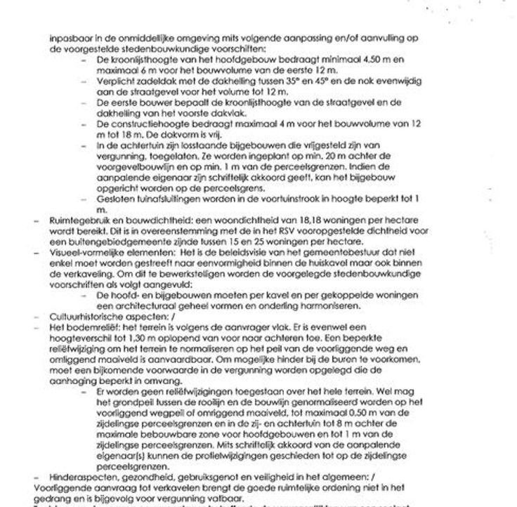
Bent u opzoek naar een prachtig gelegen perceel bouwgrond voor het bouwen van uw halfopen bebouwing? Dan hebben wij precies wat u zoekt ! Dit perceel wordt te koop aangeboden te Letterhoutem. Een rustige, groene omgeving met een vlotte bereikbaarheid en verbinding naar nabijgelegen steden ( Zottegem / Aalst) en autosnelweg E40. Een ideale omgeving voor gezinnen en natuurliefhebbers. Perceel bouwgrond heeft een oppervlakte van 509m² en het perceel bouwland:1185m². Verkavelingsvoorschriften kan u lezen bij de foto's. Voor meer informatie contacteer ons via charlotte@welleman.be of het online contactformulier.
Type vastgoed Grond
Prijs 169.500